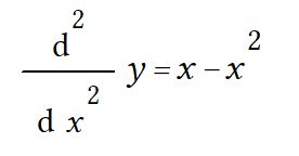
Formeln.
Lösung.
Fortsetzung.

Ende der Aufgabe.
Erfahre mehr über die Aufgabe aus dem Internet.
Anleitungen zur Verwendung von wxMaxima. InhaltsverzeichnisSuche nach einem beliebigen Text
Link auf qwant zur Suche nach dem eingegebenen Text
Link auf metager zur Suche nach dem eingegebenen Text
Link auf bing zur Suche nach dem eingegebenen Text
Erstellen eines Audio-Files
Verbindung mit libreoffice-online
Link mit libreoffice download, incl. LibreOffice Draw für Zeichnungen
Download von TextPad
Download von XnView
Hinweise zur Sprachausgabe --- Starten und Beenden: Strg+Windows Logo+Return. ---
Starten des Scanmodus durch Feststelltaste+Leertaste sowie Pfeil nach oben oder nach unten.
Einstellungen: Strg+Windows Logo+N. Z.B. Sprechgeschwindigkeit, Tonhöhe, Lautstärke.
Zugang auch über "Erleichterte Bedienung" und "Sprachausgabe" im Feld Suche auf dem Desktop>
Literatur: Bartsch, Hans-Jochen; Taschenbuch mathematischer Formeln; 21. Auflage; Fachbuchverlag Leipzig im Carl Hanser Verlag
Zweck dieser App ist das Üben von Klausur-Aufgaben.
Es wird versucht, die bewährten Präsenzveranstaltungen mit einfachen Mitteln möglichst gut nachzubilden.